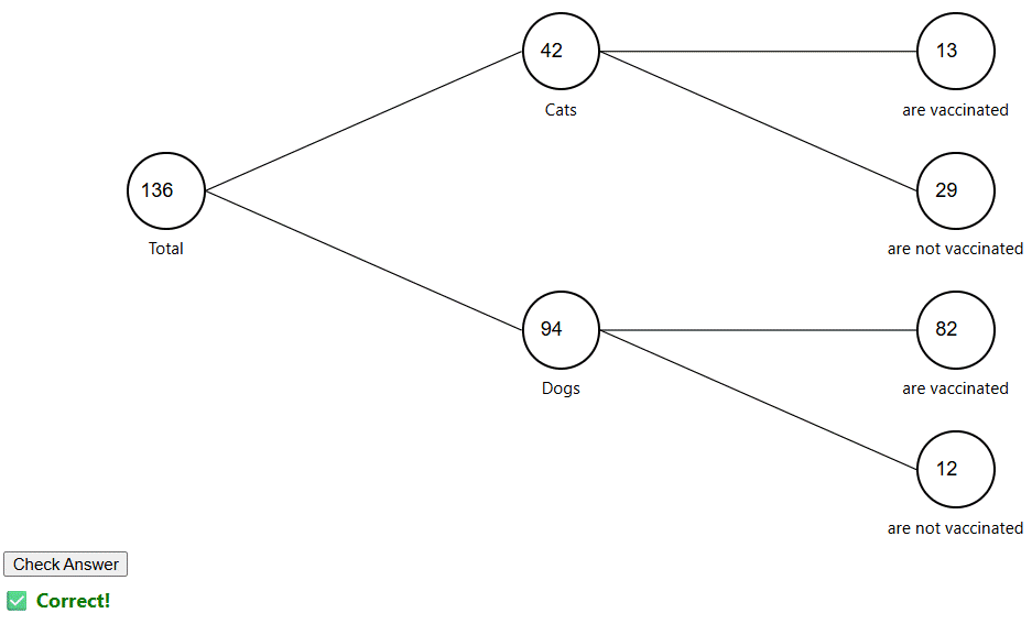
Frequency trees

Frequency trees help you sort and count information in a clear way. They’re great for working out how many people or things fit into different groups, like how many students prefer different snacks or how many passed a test. It’s like building a picture of the data, step by step! Jump to the questions